首页头部-菜单-搜索头
设为首页 |
加入收藏 |
加入桌面 |
意见/留言 |
联系我们 |
用户名:
密码:
忘记密码
首页
管乐视频
管乐编曲与教学
诗歌简谱
诗歌音乐
圣经影视
音乐知识
动态歌谱
软件
主内弟兄姊妹,如果你有铜管乐谱也要奉献与分享,请联系邮箱:zhengjindao@163.com ;QQ:897556837,
微信联系请点击这里,联系人:郑老师
欢迎主内弟兄姊妹不吝地提供铜管乐谱分享。如果本网站有您的专辑作品又不想分享给主内家人,请在页头联系我们,我们会第一时间删除您的作品,不再录用,谢谢!
搜索内容:
铜管乐谱
管乐视频
诗歌简谱
诗歌音乐
爱心赞助
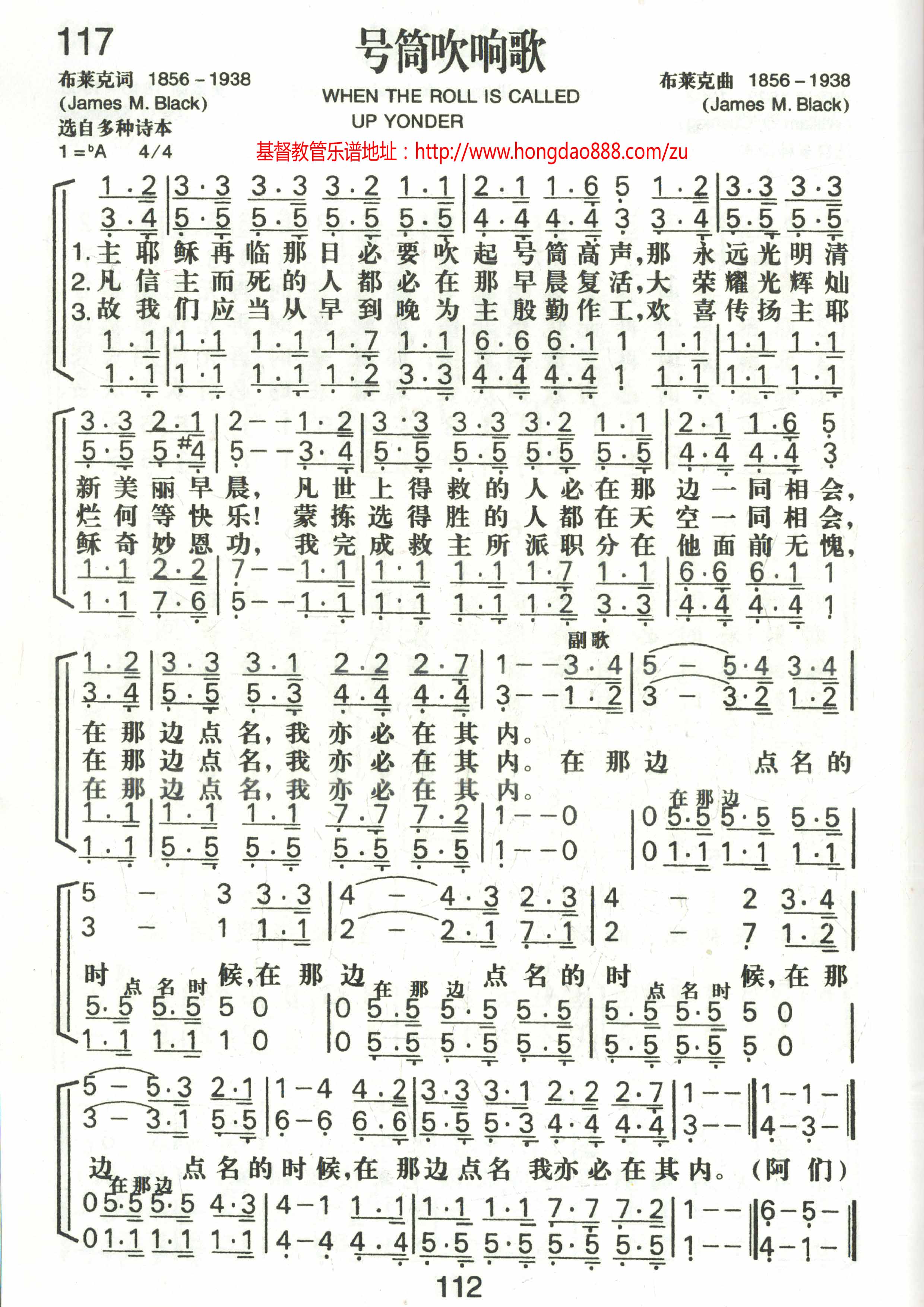
号筒吹响歌(总谱)
点击这里更多总谱>>>
爱心赞助
主内家人们,本站的所有内容全部免费下载,不收任何费用,本站的建设需要大量的时间和精力,实在不容易,若您觉得本站很好, 愿意援手爱心赞助,请在下面图中,用微信扫描为我们爱心赞助,我们十分感谢您的援手帮助!我们将会把网站做的更好、更完美! 使更多的弟兄姊妹得到更多需要的管乐总谱、诗歌简谱、管乐视频、音乐等,愿主赐福给大家家庭幸福、平安喜乐!阿们!
手机操作爱心赞助,点击播放教程
视频右下有全屏播放按钮,点击关闭视频 ×
您的浏览器不支持视频标签。
点击这里关闭视频
提示!如果以上扫码爱心赞助有问题,请点击这里加我微信,谢谢!
相关歌谱
没有符合相关条件
最新歌谱
生命的河、唱一首天上的歌[推荐]【郑敬…
为了我[总谱]推荐【郑敬道老师配器】
赞歌/赞美耶稣/选一支最好的琴/赞美救…
圣诞颂歌【管乐总谱郑老师编配】
家乡啊!家乡(OK推荐)【郑老师配器】
追思歌(四声谱)【管乐四声谱】
主啊求你兴起我【管乐总谱】
这条路上我们一起走【管乐总谱】
赞美的诗歌唱不完【管乐总谱】
愿神同在直至再见面【管乐总谱赞美地极…
为主而活【管乐总谱】
走向复兴【管乐总谱】
耶稣愿意救罪人【管乐总谱】
向主献上一颗心【管乐总谱】
我只要主耶稣【管乐总谱】
我要尽情的赞美歌颂你【管乐总谱】
我想我家乡在那边【管乐总谱】
我告诉你【管乐总谱】
为主而活【管乐总谱】
同路人【赞美到地极】
田地里的庄稼(赞美到地极)【赞美到地极…
田地里的庄稼【管乐总谱】
时光如流水【管乐总谱】
十字红(鼓谱)【管乐(鼓谱)】
圣哉三一歌【管乐总谱】
生命江河【管乐总谱】
神与我们同在【管乐总谱】
神爱在人间【管乐总谱】
神爱世人【管乐总谱】
荣耀归主【管乐总谱】
荣耀归神【管乐总谱】
日光之下【管乐总谱】
人的生命只有一次【管乐总谱】
青春青春【赞美到地极】
亲爱的朋友【管乐总谱】
平安夜【管乐总谱高炳点编配】
普天同庆【管乐总谱】
有一血泉,以马内利【管乐总谱】
你们要赞美耶和华【管乐四声谱】
美好的仗【管乐四声谱】
每当我想起你(四声谱)【管乐四声谱】
流血之泉【管乐总谱】
乐进天国歌(各分谱)【管乐各分谱】
旷野之路【管乐总谱】
快来信耶稣【管乐总谱】
凯歌【管乐总谱】
教会我温馨的家【管乐总谱】
家乡啊家乡(修正版)【管乐总谱】
加略山的爱【管乐总谱】
号筒吹响歌【管乐总谱】
哈利路亚五线谱(萨克四重奏)【管乐总…
哈利路亚,耶稣得胜【管乐总谱】
哈利路亚【管乐总谱】
光明之处新生王降世【管乐总谱】
复兴耶稣的家【管乐总谱】
复活喜庆【管乐总谱】
复活进行曲【管乐总谱】
当神圣在我心【管乐总谱】
称颂【管乐总谱】
曾否就主,求他洗净【管乐总谱】
宝座的羔羊【管乐总谱】
宝血权能【管乐总谱】
爱是恒久的忍耐【管乐总谱】
爱使我们相聚一起【管乐总谱】
永恒的生命【管乐总谱】
赞美飞扬【管乐总谱】
宣教的中国【管乐总谱】
神爱在人间【管乐总谱】
向主高唱得胜凯歌【管乐总谱】
主恩唱不完【管乐总谱】
神创造的大能【管乐总谱】
我是耶稣精兵【管乐总谱】
每当我想起你【管乐总谱】
你是荒漠的甘泉【赞美到地极】
迷失的羔羊你今在哪里【赞美到地极】
主如一颗明亮的晨星[二声谱]【管乐总谱…
送别歌(二声谱适合小型乐队)【管乐总…
奇妙的双手(二声谱)【管乐总谱】
赞美神(管乐谱)【管乐总谱】
生命路(二声谱)【管乐简谱】
复兴点燃中国的火焰【管乐总谱】
点燃复兴的火焰[总谱]【管乐队合奏简谱…
最知心的朋友[总谱]【管乐队合奏简谱】
羔羊的新歌[羔羊新歌]总谱【赞美到地极…
走进恩典时代(总谱)【教会管乐简谱】
主啊愿你拉住我们的手(总谱)【教会管乐…
磐石磐石耶稣基督(总谱)【赞美到地极…
天上的福【教会管乐简谱】
我今愿跟随救主(总谱)【赞美到地极】
你就是耶稣(总谱)【教会管乐总谱】
当趁着年轻(总谱)【管乐谱-赞美到地…
还有谁在闲站(总谱)【管乐总谱-赞美…
当年走旷野(总谱)【基督教-管乐总谱…
走进新的一天【诗歌:管乐总谱】
向耶和华唱新歌-四声部谱【诗歌:管乐…
温馨提示:在歌谱图片上用鼠标右击,然后选择“图片另存为”就可以下载该歌谱了!
详情页视频
点击这里播放《生命的河》总谱视频;手机操作:将页面缩到最小,点击视频窗体中的"全屏"图标可全屏播放
视频右下有全屏播放按钮,点击这里关闭视频 ×
您的浏览器不支持视频标签。
点击这里关闭视频
点击这里关闭视频
页尾
主内弟兄姊妹,如果你有铜管乐谱也要奉献与分享,请联系邮箱:zhengjindao@163.com ;QQ:897556837,
微信联系请点击这里,联系人:郑老师
-->